VARIFICATION OF EULER'S THEOREM | EULER'S THEOREM STATEMENT | SOLVED EXAMPLE - Math Traders

Latest

VARIFICATION OF EULER'S THEOREM | EULER'S THEOREM STATEMENT | SOLVED EXAMPLE

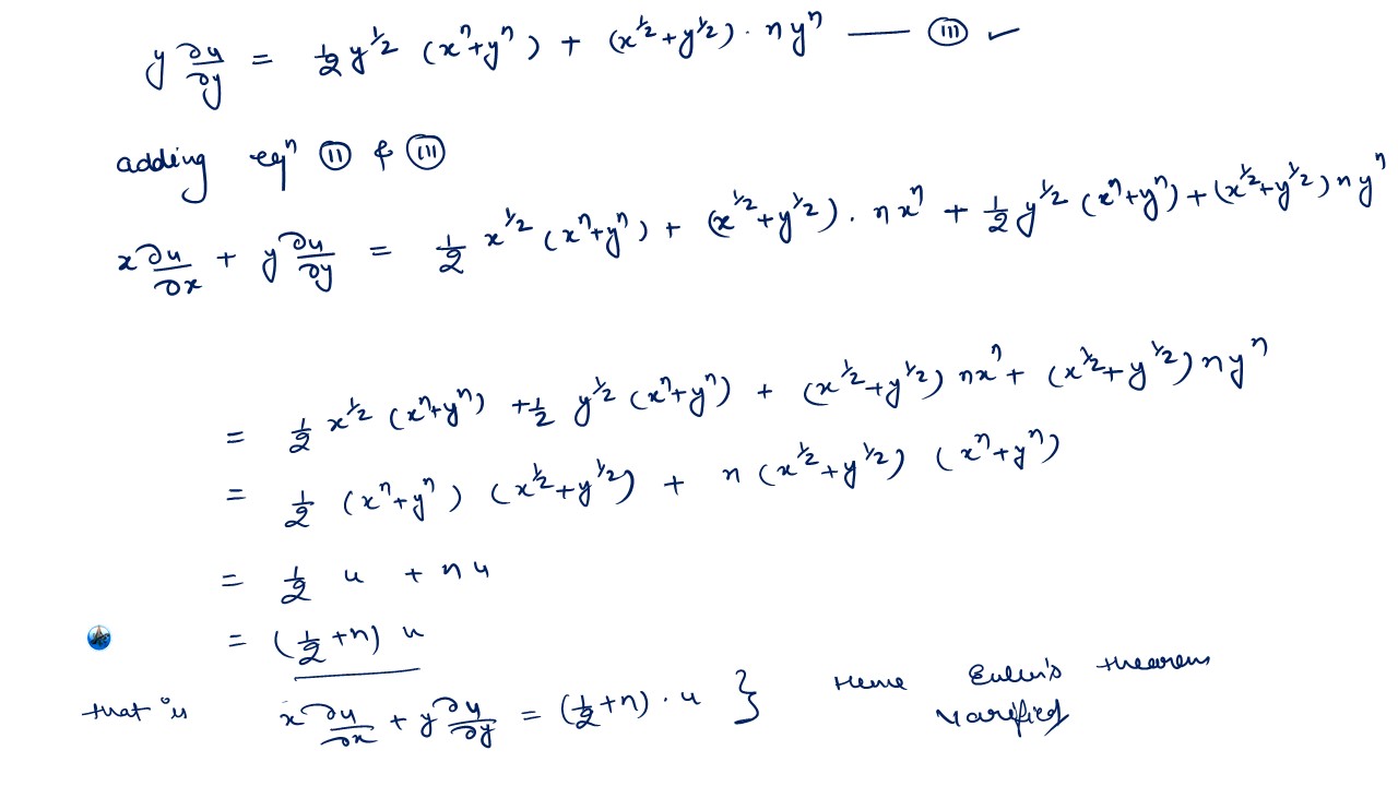
 VARIFICATION OF EULER'S THEOREM


Please Tap/Click On this picture to increase the size
VARIFICATION OF EULER'S THEOREM

VARIFICATION OF EULER'S THEOREM

VARIFICATION OF EULER'S THEOREM


You Can Watch This video solution for this question



No comments:

Post a Comment