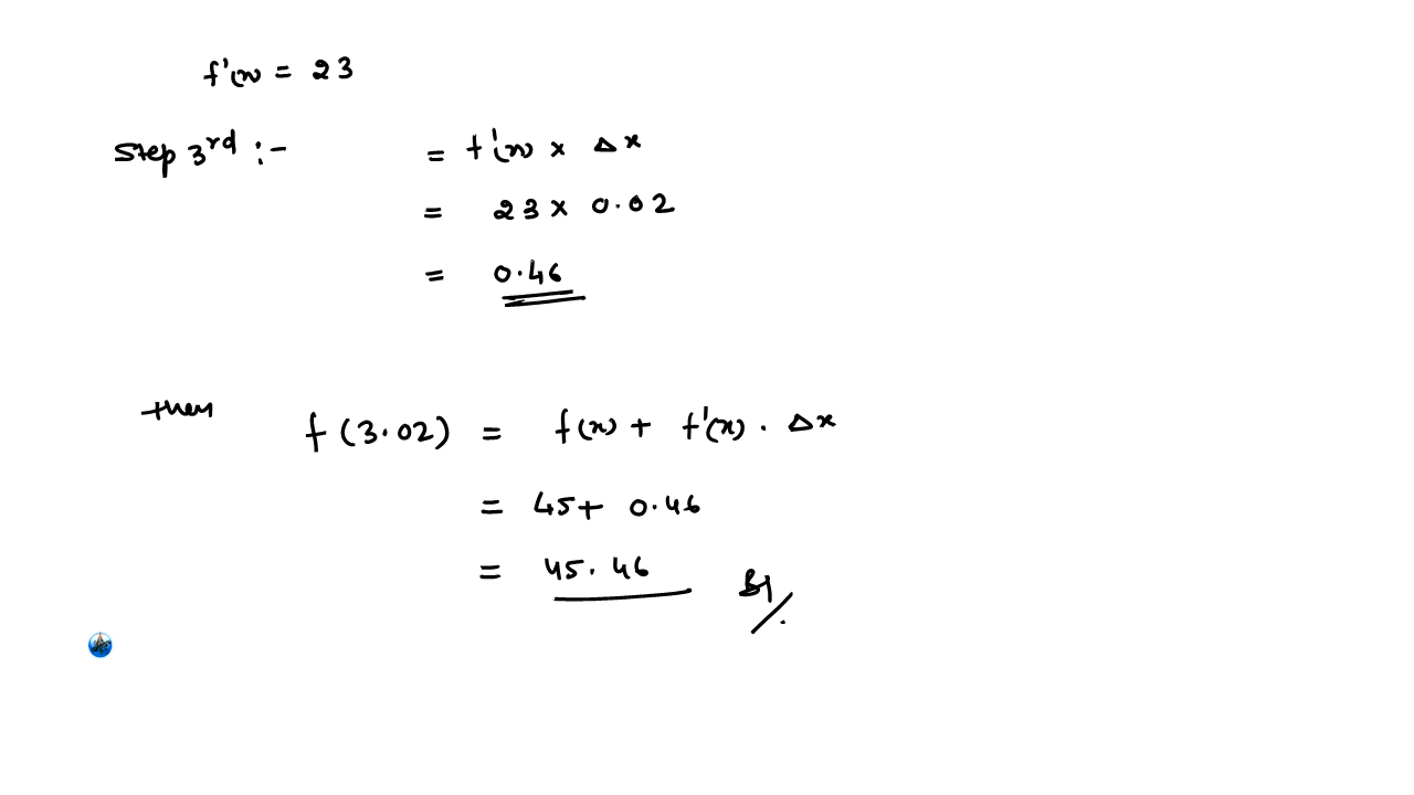
F(3.02) = ? If
f(x) = 𝟑𝐱^𝟐+𝟓𝒙+𝟑
Please click / Tap the image to increase size
F(3.02) = ? If
f(x) = 𝟑𝐱^𝟐+𝟓𝒙+𝟑
Please click / Tap the image to increase size
watch this video solution here 👇


No comments:
Post a Comment